유리함수와 M-M 방정식, 비선형 약동학과 항체의약품
고1 수학(하)와 생명과학2의 통합탐구
메디컬저널
메디컬 현업 전문가팀
생명과학1의 항체 구조와 체액성 면역, 생명과학2의 단일클론항체 생산과 생명공학기술, 통합과학의 효소-기질 특이성, 수학(하)의 유리함수, 화학2의 반응속도론 개념을 활용하여 항체의약품의 약동학적 특성을 정리하였다. 먼저 IgG 기반 항체의약품의 구조와 마우스 항체, 키메라 항체, 인간화 항체, 인간 항체의 발전 과정을 살펴보고, 항체치료제가 왜 특정 표적에 높은 특이성을 가지는지 분석하였다. 이어 약동학의 기본 개념인 흡수·분포·대사·배설과 선형 약동학, 비선형 약동학의 차이를 비교한 뒤, 효소 반응속도론의 미카엘리스-멘텐 방정식이 약물 대사 효소의 포화와 비선형 약동학을 설명하는 데 활용될 수 있음을 확인하였다. 또한 항체의약품은 표적 매개 제거 특성 때문에 일반 화학의약품보다 비선형 약동학을 보이는 경우가 많으며, 이를 미카엘리스-멘텐 모델이나 TMDD 모델로 해석할 수 있음을 정리하였다. 이를 통해 항체의약품의 표적 특이성과 체내 제거 특성이 어떻게 연결되는지 이해하고, 바이오의약품의 투여 전략과 약물 개발에서 수학·생명과학 개념이 실제로 활용됨을 확인하고자 하였다.
✔️ 안녕하세요, 의약계열 학종을 준비하는 학생들을 위한, 고품격 세특 참고 보고서 전문 메디컬저널입니다.
표적치료제 항체의약품(항체치료제)
# 항체의약품
✔️ 사람의 면역계가 생산하는 항체는 IgG, IgM, IgA, IgD, IgE의 5종류이며 그 분포와 기능 그리고 구조에 있어 차이가 존재합니다. 그 중 혈액에 가장 많이 존재하는(75%) 것은 IgG(Immunoglobulin G)이며, 우리가 생명과학1의 체액성 면역반응에서 배우는 항체는 IgG라 할 수 있습니다.
IgG의 구조는 아래 그림과 같은데, 2개의 중쇄(무거운 사슬, 파란색)과 2개의 경쇄(가벼운 사슬, 빨간색)으로 구성되며, 중쇄 사이, 중쇄와 경쇄 사이에는 이황화 결합(Disulfide bond)이 존재합니다. 이러한 항체의 구조를 Y자 형이라 하며, 갈라진 윗 부분을 Fab 부위, 아래 영역을 Fc 부위라 부릅니다. 항체 중 항원과 결합하는 부위(Antigen-binding site)는 Fab 부위의 끝에 존재하며, 동일한 2개의 항원결합자리를 가지고 있습니다.
또한 항체의 구조는 가변부위와 불변부위로 나누어지는데, 아래 그림에서 V라고 표시된 Fab 중 항원결합자리를 포함하는 끝 부분이 가변부위이며, 해당 부위는 그 이름처럼 다양성을 나타내어 다양한 항원에 대응할 수 있도록 하는 기능을 합니다. 반면 나머지 C라고 표시된 아래쪽 나머지 구조는 불변부위에 해당하며 이는 항체가 IgG, M, A, D, E 중 어떤 종류에 속하는지를 결정하는 기능을 합니다.

❗️IgG를 질병 치료에 활용한 것이 바로 항체의약품이며, 항체의약품은 바이오의약품에 해당합니다. 지난 탐구에서 살펴본 것 처럼, 마우스에 항원을 주입해 체액성 면역반응으로 만들어진 B림프구 중 목적으로 하는 단일 클론 IgG를 생산하는 B림프구를 암세포와 융합시키는 hybridoma cell 기술을 통해 특정 에피토프에만 매우 특이적으로 결합하는 단일클론항체(mAb)를 대량으로 생산할 수 있습니다.

❗️1985년 최초로 승인된 항체의약품 OKT3는 위 hybridoma cell technology를 활용해 제조한 단일클론 항체muromonab이며 면역억제제로 사용되었습니다.
그런데 마우스로부터 만들어낸 마우스 항체(Murin mAb)는 타겟 항원에 대한 특이적 결합 능력은 가지지만, 인간에게 투여하였을 때 마우스 유래라는 점에서 외래 단백질로 인식되어 면역 반응을 일으키는 부작용이 존재합니다. 그러한 이유로 마우스 항체의 가변부위와 인간 항체의 불변부위를 결합한 키메라 항체(Chimeric mAb)가 개발되었으며 이러한 키메라 항체는 이름 중간에 -xi-가 들어 있습니다. 대표적인 키메라 항체로는 림프암 치료제인 Rituximab과 자가면역 치료제 Infliximab이 있습니다.
키메라 항체 역시 반복 투여시에 면역 반응이 발생하는 단점이 여전히 존재하였고, 따라서 단백질 공학기술에 의해 인간 항체의 가변부위 중 항원을 인식하고 결합하는데 매우 중요한 역할을 하는 아미노산 서열인 CDR(Complementarity-Determining Regions)을 CDR-grafting(CDR 이식) 기술로 마우스 항체로부터 재조합시킨 인간화 항체(Humanized mAb)가 개발되었습니다. 인간화 항체는 이름 중간에 -zu- 또는 -xizu-가 들어 있으며 대표적으로 유방암 치료제인 bevacizumab이 있습니다.
그런데 인간화 항체의 경우 인간 항체에 단순히 CDR만을 이식하는 것으로는 항원에 대한 결합도가 떨어진다는 문제점이 존재하였으며, 따라서 파지 디스플레이 기술 혹은 형질전환 마우스 기술을 이용해 인간 단일 클론 항체(Human mAb)를 개발했으며, 이러한 항체는 이름 중간에 -u-가 들어가는 특징이 있습니다. 대표적으로 류마티스 관절염 치료제인 adalimumab, golimumab 등이 현재 임상에 적용되고 있으며, 이러한 인간 항체는 면역원성이 최소화 된다는 장점을 또한 가지고 있습니다.
⭐️ 우리는 생명과학1을 통해 항체(IgG)가 체액성 면역반응을 통해 세균 등의 병원균에 대해 방어작용의 기능을 한다고 배웠습니다. 그런데 실제로 항체의약품은 병원균에 의한 감염성 질환의 치료를 목적으로 사용되기보다는 주로 암(2세대 표적항암제)이나 면역질환(자가면역질환) 등의 치료의 목적으로 개발되어 사용되고 있습니다. 그 이유는 항체의약품은 우리몸에서 자연적으로 생산되는 항체와 동일한 기능을 기대하는 것이 아니라, 항체가 가지는 결합 특이성의 이점을 적극 활용하여 특정 생물학적 경로를 표적으로 하는 항체를 인공적으로 생산하여 생물학적 반응을 조절하는 표적치료제의 기능을 하게됩니다.
메디컬저널 구독으로 더 많은 콘텐츠를 만나보세요!
✔️ IQVIA의 자료에 따르면 최근 글로벌 신약개발의 트렌드가 합성신약에서 바이오신약으로 전환되고 있으며, 바이오의약품 시장 규모는 2022년 4310억 달러에서 2027년에는 6660억 달러까지 성장할 것으로 예측된다고 한다. 바이오 의약품이란 생물체에서 유래한 것을 원료로 하여 제조한 의약품으로 독성과 부작용이 적으며 체내에서 정확히 전달되는 장점을 가지고 있다. 바이오의약품 중에서도 항체치료제는 독보적인 글로벌 판매 실적을 내고 있는데, 지난번 탐구에서 살펴본 표적항암제 '키트루다'는 2026년에도 글로벌 판매 1위 품목으로 예상되며, 2위로 예상되는 류마티스 관절염 항체 치료제 '휴미라'는 2012년 글로벌 매출 1위 의약품에 오른 뒤 2020년까지 9년 연속 1위를 차지할 정도로 항체 치료제들이 큰 인기를 끌고 있다. 그러한 판매 실적은 항체 치료제 방식의 우수한 효능을 입증하는 것이라 할 수 있는데, 그렇다면 항체 의약품이 우리 몸에 주입되었을 때 전통적인 화학의약품과는 달리 어떻게 흡수, 분포, 대사, 배설되는 것인지 약동학적인 측면에 대한 궁금증이 생겼고, 이를 고등수학(하)의 유리함수와 연계하여 탐구해보고자 한다.
* 참고. 바이오 의약품이란?
'바이오의약품'이란 무엇인가요?
유리함수와 분수함수 (고등수학 하)
✔️ 고등수학(하)에서 f(x)가 x에 대한 유리식일 때, 이 함수를 유리함수라 하며, 유리함수는 다항함수와 분수함수로 이루어진다고 소개하고 있습니다. 즉 f(x) = P(x)/Q(x)와 같이 두 다항함수 P(x)와 Q(x)의 비(분수)로서 나타낸 분수함수 역시 유리함수라 할 수 있습니다. 이때 유리함수의 정의역은 분모가 0이 되지 않도록 하는 실수 전체의 집합입니다.

❗️가장 기본적 유리함수인 y=k/x의 그래프는 x축과 y축을 점근선으로 하며, 원점에 대해 대칭이고, 또한 두 직선 y=x, y=-x에 대해 대칭입니다. 복잡한 형태의 분수함수의 그래프는 y=k/(x-p) + q의 형태로 변형시켜 그릴 수 있는데, 이는 y=k/x를 x축 방향으로 p만큼, y축 방향으로 q만큼 평행이동한 것입니다. 이때 점근선은 x=p, y=q가 되며 그래프는 점 (p, q)와 두 직선y=(x-p)+q와 y=-(x-p)+q에 대하여 대칭성을 가집니다.
⇢ 예를 들어 위 분수함수의 그래프는 y=5/x를 x축 방향으로 1, y축 방향으로 2만큼 평행이동한 것으로 점근선은 x=1, y=2가 되며 점 (1, 2)와 두 직선 y=x+1과 y=-x+3에 대해 대칭입니다.
Michaelis-Menten Equation과 유리함수
# 미카엘리스-멘텐 방정식이란? (통합과학)

✔️ 통합과학, 생명과학에서 배우는 것 처럼, 효소는 반응물로부터 생성물이 만들어지는 화학 반응에서 활성화 에너지를 낮추어 반응이 빠르게 일어나게 하는 역할을 합니다. 이때 효소는 기질특이성을 가지는데, 이는 효소와 기질(반응물)이 입체적으로 특이하게(특이하다는 것은 잘 들어맞는 특정 기질과만 결합한다는 의미입니다.) 결합하여 효소기질복합체(ES complex)를 형성하는 것을 의미합니다. 반응 후 효소는 재활용되며 따라서 화학 반응식은 위 그림과 같이 혹은 양쪽의 S를 소거하여 E → P로 나타내야 합니다.
❗️이때 효소에 의한 화학반응 속도를 연구하는 학문을 효소 반응속도론이라 하며, 효소 반응속도론에서 가장 잘 알려진 미카엘리스-멘텐 방정식은 기질(반응물)의 농도에 따른(=x축) 초기 반응속도(=y축)의 관계를 나타낸 함수라 할 수 있습니다. 이때 굳이 '초기' 반응속도라 정의한 것은 반응이 진행됨에 따라 만들어지는 부산물들이 반응에 영향을 미칠 수 있으므로, 그러한 영향을 배제하고 기질(반응물)의 농도를 변경시켰을 때 첫(초기) 시점에서의 반응 속도를 연구하는 것입니다.
# 미카엘리스-멘텐 방정식의 유도 (화학2)
미카엘리스 멘텐 방정식은 화학2의 반응속도론을 배운 경우 직접 유도할 수 있습니다. 화학2를 배우지 않은 학생들은 생략해도 괜찮습니다. 해당 유도 과정은 검색을 통해 쉽게 찾아볼 수 있습니다. 미카엘리스 멘텐 방정식을 유도하는 방식은 빠른 평형 가정한 미카엘리스 멘텐 방정식 유도 방식과 'Briggs-Haldane 모델' 방식이 존재하며, 그 결과는 동일합니다. 이번 콘텐츠에서는 Briggs Haldane 식 유도 방식으로 정리해보도록 하겠습니다.
※ 우선, 유도에 앞서 효소 기질의 반응은 각 물질에 대해 1차 반응을 따른다고 가정합니다. 또한 효소는 반응 전후에 사라지지 않고 재활용되므로 효소의 양은 일정하다는 가정이 필요합니다.

① 효소에 의해 기질로부터 생성물이 만들어지는 반응의 화학 반응식은 위와 같이 나타낼 수 있습니다. 이때 효소와 기질이 입체적 특이성으로 복합체를 형성하는 것은 가역적 반응인 반면, 그로부터 생성물이 만들어지는 반응은 비가역적 반응에 해당합니다.
k1은 효소와 기질이 결합해 복합체를 만드는 반응속도 상수를, k2는 복합체로부터 반응물이 만들어지고 효소가 다시 생성되는 반응속도 상수를 k-1는 ES복합체가 다시 효소와 기질로 분해되는 역반응의 반응속도 상수를 나타냅니다.

② 미분을 활용해 각 물질의 변화율을 위와 같이 정리할 수 있습니다. 이때 반응에 의해 해당 물질이 소실(제거)되는 경우 마이너스 부호가, 생성되는 경우 플러스 부호가 붙게 됩니다.
③ 다음으로 정상상태(Steady State)의 가정이 필요합니다. 화학반응에서 정상상태라 함은, 반응 중간체의 생성속도와 분해속도가 같은 상태를 의미하며, 위 반응에서는 [ES]가 일정한 것을 의미합니다.
따라서 ②번의 복합체 변화율에서 d[ES]/dt=0이 되어야 합니다. 또한 효소는 사라지지 않으므로 효소의 농도는 일정하다는 가정에서 [E0]=[E]+[ES] 라 할 수 있으며(최초에 넣어준 효소 E0는 E혹은 ES로 존재한다는 의미), 이를 [E]=[E0]-[ES]로 정리하여 대입하고 [ES]에 대한 식으로 정리하도록 합니다.
④ 이때 k-1+k2/k1 = Km 으로 정의하며 이를 미하엘리스 상수라 합니다. 이때 '반응속도'라 하면 최종 생성물이 만들어지는 속도를 의미하므로 v=d[P]/dt이며 ②에서 d[P]/dt = k2[ES]입니다. [ES]에 ③의 식을 대입합니다.
⑤ 이때 [S]가 Km보다 매우 큰 조건([S]>>Km)에서 v=k2[E0]가 되며, 이는 반응물이 매우 많을때의 최대 속도 Vmax를 의미하므로 따라서 k2[E0]는 Vmax로 정리할 수 있습니다. 이렇게 정리한 아래의 식이 미카엘리스 멘텐 방정식에 해당합니다.

또한 보다 직관적으로 설명하자면 v=k2[ES]이라 했는데, [ES]=[E0]일때, 즉 초기에 넣어준 E0가 모두 ES로 존재하여 생산물을 만들어내는 반응(ES→E+P반응)을 진행하고 있을 때의 반응속도가 v=k2[E0]이며 이때가 최대 반응속도일 것임을 이해할 수 있습니다.

⑥ Km과 Vmax는 상수에 해당하며, 따라서 초기 반응속도 v를 y로, 기질의 농도[S]를 x로하여 그래프를 그리면 오른쪽과 같은 미카엘리스 멘텐 함수의 그래프가 그려집니다. 이는 효소 반응시 기질의 농도에 따른 초기 반응속도 그래프라 정의할 수 있습니다.
✔️ 앞서 살펴본 것처럼 Vmax는 최대 반응속도이며, 기질의 농도가 아무리 증가하여도 Vmax보다 반응속도가 커질 수는 없습니다. 이는 효소의 양은 일정한 상황을 가정한 것으로, 기질의 농도가 증가하여도 효소의 양은 제한되어 있으며 모든 효소가 기질과 반응에 참여하고 있는, 즉 '포화'의 상태에 도달하기 때문입니다.
✔️ 다음으로 상수 Km의 의미에 대해 설명하자면, Km=[S]일 때, v=Vmax/2가 됩니다. 즉, Km은 반응속도가 Vmax의 절반일 때의 기질의 농도를 의미합니다. 다른 말로는, 특정 수준의 반응 속도에 도달하기 위해 필요한 반응물(기질)의 농도를 의미하며,
만약 효소와 기질이 큰 친화성을 가지는 경우 빠르게 1/2Vmax에 도달할 수 있을 것이라는 점에서 Km 값이 작다는 것은 효소와 기질이 친화성을 가진다는 의미로 해석됩니다. 즉, Km은 효소와 기질의 친화성을 나타내는 값이며 Km이 작을수록 큰 친화성을 의미합니다. 그러한 점에서 Km은 '해리상수'로도 불립니다.
# 미카엘리스-멘텐 방정식과 유리함수 (고등수학 하)

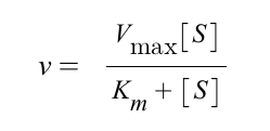
미카엘리스-멘텐 방정식
미카엘리스-멘텐 식은 유리함수에 해당합니다. 앞서 설명한 것 처럼 Km과 Vmax는 상수입니다. 또한 우리는 v를 y로, [S]를 x로 하여 그래프를 그려보았습니다. 즉 Km=a, Vmax=b라 놓으면 미카엘리스-멘텐 식은 아래와 같은 분수 함수(유리함수)로 표현할 수 있습니다.
→ 위 미카엘리스 멘텐 식은, 우리가 앞서 정리한 유리함수의 형태와 일치합니다. 그렇다면 우리가 앞서 그려본 미카엘리스 멘텐 그래프 역시 유리함수의 그래프 형태인지를 확인해보도록 하겠습니다.
① 위 함수에서, k=-ab 이며 a와 b는 각각 >0이기 때문에 k<0라 할 수 있습니다. 따라서 유리함수의 그래프는 제2사분면과 제4사분면에 존재합니다.
② 또한 해당 그래프는 y=-ab/x를 x방향으로 -a만큼, y방향으로 b만큼 평행이동한 것으로서 점근선은 x=-a, y=b가 됩니다.
③ 평행이동 전의 y=-ab/x에서는 점근선이 x=0이며 곡선이 x=0에 한없이 가까워지지만 x=0이 될 수는 없습니다(분모가 0이 되지 않는 실수 전체의 집합이 정의역). 하지만 평행이동한 곡선에서는 x=0이 정의역이 되며, 또한 우리는 미카엘리스 멘텐 방정식에서, 기질의 농도 x가 0일때, 반응속도 y는 0이라는 것을 이미 알고있습니다. 즉, 유리함수의 곡선은 (0,0)을 지나야 합니다.

남들과 다른 세특, 어떻게 시작할지 막막하다면?
세특 탐구 특화 아카AI로 나만의 주제 추천받으세요.
