Lineweaver-burk plot와 항바이러스제 작용기전
고1 수학 직선의 방정식과 생명과학1 바이러스
메디컬저널
메디컬 현업 전문가팀
독감(인플루엔자)의 유행 배경과 감기와의 차이를 살펴보고, 인플루엔자 바이러스의 생활사를 정리합니다. 미카엘리스-멘텐 방정식으로부터 Lineweaver-Burk 방정식을 수학적으로 유도하고, 이를 활용하여 경쟁적·비경쟁적·반경쟁적 효소 저해제가 Vmax와 Km에 미치는 변화를 분석하는 원리를 탐구하였습니다. 최종적으로 타미플루(Oseltamivir)가 뉴라미니데이즈의 경쟁적 저해제로서 바이러스 방출을 차단하는 작용 기전을 Lineweaver-Burk plot을 통해 직접 확인하였습니다.
✔️ 안녕하세요. 의약계열 입시를 꿈꾸는 학생이라면 반드시 읽어보아야 하는 메디컬 학종 세특 심화탐구 참고 보고서 전문 메디컬저널입니다.
봄철 재유행 위험 A, B 형 독감
✔️ 지난 겨울에 이어 봄까지 독감 유행이 지속될 것으로 예상되고 있습니다. 그렇지 않아도 최근 소아과 오픈런 사태가 심각한 상황에서 독감을 대비해 예방 접종을 맞으려는 인파가 몰리며 소아과는 연일 아이들로 북적이고 있습니다. 국민건강보험공단이 발표한 건강보험 진료현황에 따르면 2022년의 독감 환자는 전년 대비 91.2배 증가한 87만 3590명을 기록하는 등 독감 유행이 여러 해가 지나면서도 사그라들지 않고 있는 상황입니다.
# 감기(cold) vs 독감(flu)

→ 감기와 독감은 모두 감염성 호흡기 질환이라는 점과 바이러스성 질환이라는 공통점을 가지고 있으며 일부 증상들은 두 질환 모두에서 공통적으로 나타나기도 합니다. 하지만 그럼에도 감기와 독감이 다른 질환이라는 것은 익히 들어 알고 계시리라 생각합니다.
감기와 독감은 서로 다른 바이러스에 감염되어 발생하며 또한 위 표와 같이 다양한 증상들의 발현 여부와 정도에서 미묘한 차이를 나타냅니다. 물론 이러한 증상 차이를 통해 감기와 독감을 구분하는 것은 쉽지 않지만, 일반적으로 감기는 심각한 질병으로 이어지는 경우가 적은 반면,
독감은 증상이 더 강하고 갑작스럽게 발생하며 폐렴이나 세균 기회감염 등의 합병증이 발생할 수 있고 심할 경우 입원을 요하는 경우도 있다는 차이점을 가지고 있습니다.
# 독감 예방접종은 매년? (감기는?)

보건복지부
→ 생명과학1에서 배운 것 처럼, 바이러스는 핵산을 숙주 세포 내로 주입하고 숙주 세포의 효소를 이용해 핵산을 복제하고 구성 물질들을 합성합니다. 이러한 바이러스의 유전물질 복제 속도는 세균보다도 빠르게 일어나며 따라서 돌연변이의 축적이 빠르게 진행됩니다.
특히 COVID-19 대유행을 일으킨 코로나 바이러스나 독감을 일으키는 인플루엔자 바이러스는 핵산으로 RNA를 가지며, RNA의 경우 복제의 과정에서 변이가 발생하였을 때 이를 다시 교정(proofreading)하는 기능이 부족하므로 돌연변이가 더 빠르게 축적될 수 있습니다.
이러한 돌연변이의 축적은 백신의 기전을 회피하는 바이러스로의 진화를 일으키게 됩니다. 따라서 새롭게 개발 된 바이러스 백신은 시간이 지남에 따라 그 효과가 감소하게 되며 독감을 일으키는 인플루엔자 바이러스 백신의 경우 일반적으로 6개월 동안 그 효과가 지속되는 것으로 알려져 있습니다. 그렇기 때문에 매년 진화하는 독감 바이러스에 대해 새롭게 개발된 백신을 다시 접종해야할 필요가 있습니다.
❗️그렇다면, 독감에 대한 백신은 매년 새롭게 만들어지는 반면 감기(cold)에 대한 백신이 존재하지 않는 이유는 무엇일까요? 그 이유로는 두가지를 들 수 있습니다.

① 첫 번째로 독감을 일으키는 바이러스는 Influenza 바이러스 A~D이며 그 중에서 인간에게 독감을 발생시키는 것은 주로 Influenza A, Influenza B 바이러스에 국한됩니다. 반면 감기를 일으키는 바이러스는 가장 대표적인 Rhinoviruses를 비롯해 다양한 바이러스 종류가 존재하며, Rhinoviruses만 하더라도 160개가 넘는 종류가 존재하는 것으로 알려져 있습니다. 백신은 특이적인 구조의 항원을 이용해 만드는 만큼, 수많은 병원체에 모두 효과를 가지는 백신을 만드는 것에는 한계가 있습니다.
② 두 번쨰로는 감기의 경우 독감과 달리 그 증상이 경미한 수준에서 회복되는 경우가 대부분이며 감기약 복용만으로도 쉽게 회복될 수 있기 때문에 백신의 필요성이 독감에 비해 덜하기 때문이라 할 수 있습니다.
⭐️ 앞서 언급한 것 처럼, 바이러스는 숙주의 효소를 이용해 증식하기 때문에, 바이러스가 활용하는 효소의 작용을 저해하는 효소 저해제(Enzyme inhibitor)가 다양한 바이러스 치료제로 활용되고 있습니다.
이번 탐구에서는 Lineweaver-burk plot을 통해 효소 저해제의 타겟이 되는 효소 속도론(Enzyme kinetics) 파라미터들의 변화를 파악하고 이를 통해 효소 저해제의 기전과 효능을 분석하는 과정에 대해 자세히 알아보도록 하겠습니다.
✔️ 지난 겨울부터 독감 유행의 소식과 함께 예방 접종을 권고하는 기사들을 다양한 매체를 통해 접하였다. 물론 바이러스 질환은 예방적 관점의 백신 접종이 큰 중요성을 가지지만 이미 감염 된 환자들의 치료를 위한 치료제에 대한 필요성도 분명히 존재한다. 코로나 바이러스 치료제인 팍스로비드와 인플루엔자 바이러스 치료제 타미플루가 가장 대표적인 바이러스 감염 치료제라 할 수 있다. 그런데 이 두가지 제품 모두 효소 저해제 물질을 주 성분으로 한다는 점과 또한 숙주 세포에서 기생하며 숙주의 특이적 효소들을 활용하는 바이러스 생활사를 고려할 때 대부분의 바이러스 치료제들은 효소 저해 작용을 기전으로 할 것임을 짐작해볼 수 있다. 그렇다면 이러한 효소 저해제의 작용 기전과 효능을 평가하는 방법으로는 무엇이 있을까? 이번 탐구에서는 Lineweaver-burk plot을 통해 효소 저해제가 작용할 때 효소 반응 속도론의 파라미터들이 어떻게 변화하는 지를 정리하고 이를 통해 효소 저해제의 기전과 효능을 파악, 평가하는 원리에 대해 탐구해보고자 한다.
인플루엔자 바이러스 종류, 생활사 : 생명과학1
✔️ 생명과학1에서 배운 것 처럼 바이러스는 생물과 비생물의 중간체적 성격을 가지고 있으며, 생물적 특성과 비생물적 특성을 모두 가지고 있습니다. 바이러스는 분열을 통해 증식하는 세균과는 달리 숙주 세포에 기생하여 숙주 세포의 효소들을 활용해 구성 입자들을 복제, 합성한 이후 다수의 바이러스가 방출되는 방식으로 증식합니다.

❗️이번 탐구에서 우리는 바이러스 중에서도 독감을 일으키는 인플루엔자 바이러스 A, B의 생활사에 대해 몇가지 중점적 단계들로서 살펴보도록 하겠습니다.
① Attachment & Entry
인플루엔자 바이러스가 숙주세포 내에서 생활사를 시작하기 위한 첫번째 단계는 숙주세포에 부착하는 것입니다. 인플루엔자 바이러스는 핵산(RNA)을 지질층이 감싼 구조를 가지고 있으며, 지질층(Lipid layer) 바깥에는 당단백질인 헤마글루티닌(Hemagglutinin, HA)과 뉴라미니데이즈(Neuraminidase, NA)가 존재합니다.
이중 헤마글루티닌(HA)이 숙주세포 부착에 핵심적인 역할을 하는데, 헤마글루티닌은 숙주세포(호흡기 상피세포) 세포막에 존재하는 시알산(Sialic acid)와 결합함으로서 바이러스와 숙주세포간의 결합(Attachment)이 이루어집니다.
시알산을 포함하는 숙주 세포막 구조는 바이러스와 결합하는 수용체와 같은 역할을 한다는 점에서 sialic acid receptor라고도 불립니다. 시알산과의 결합으로 부착 된 인플루엔자 바이러스는 수용체 매개 endocytosis(내포작용)에 의해 세포막으로 둘러싸인 vesicle의 형태로 세포 내로 들어오게 됩니다(Entry)
② Fusion & Uncoating

Endocytosis에 의해 세포 내로 들어온 인플루엔자 바이러스는 숙주의 세포막으로 둘러싸인 vesicle 내에 위치합니다. 이처럼 endocytosis로 들어온 vesicle을 Endosome이라 하는데, endosome 내부는 pH가 낮은 산성 조건이 형성됩니다. 낮은 pH로 인해 HA에 구조적 변형(Conformational change)이 발생하고, 그 결과 바이러스 외부 지질층과 endosome의 세포막 유래 지질층 사이 융합(Fusion)이 일어납니다.
이러한 융합에 의해 핵산을 감싸고 있던 외부 지질층이 벗겨지고(Uncoating), 바이러스 구조 내부에 존재하던 바이러스 RNA (viral RNA)가 세포막으로 방출되며, 방출된 바이러스 RNA는 숙주세포의 핵으로 이동하게 됩니다.
③ Replication & Transcription
숙주 세포의 핵으로 이동한 바이러스 RNA는 바이러스 스스로의 RNA 복제효소(PB1, PB2, PA)와 숙주의 RNA 복제효소(RNA polymerase II)를 활용하여 새로운 바이러스 조립에 필요한 RNA를 복제(Replication)하거나 혹은 숙주 리보솜에서 조립에 필요한 바이러스 구성 단백질(HA, NA 등)을 합성하기 위한 mRNA를 전사(Transcription)합니다.
④ Assembly & Budding
새롭게 합성된 바이러스 RNA와 구성 단백질들은 숙주세포의 세포막에서 조립(Assembly)됩니다. 합성된 HA와 NA는 숙주세포 세포막에 삽입되며, 바이러스 RNA는 이러한 HA, NA가 포함된 숙주 세포막에 둘러싸여 숙주세포를 바깥으로 돌출(Budding) 됩니다.
⑤ Release
숙주 세포막과 함께 바깥으로 돌출 된 바이러스 구조는 하나의 독립된 바이러스 구조로서 방출되는데 이때 뉴라미니데이즈(NA)가 방출에 중요한 기능을 합니다. 뉴라미니데이즈(NA)는 숙주세포막에 존재하는 시알산을 절단하여 세포막으로부터 바이러스구조가 떨어져 나가 방출될 수 있도록 합니다. 만약 뉴라미니데이즈가 시알산을 절단하지 않는다면, Attachment과정과 같이 바이러스 구조의 헤마글루티닌과 숙주세포막의 시알산이 결합함으로써 바이러스가 방출될 수 없습니다. 또한 뉴라미니데이스는 바이러스 외막에 존재하는 시알산 역시 절단해냄으로써 시알산을 매개로 하여 서로 다른 바이러스 입자간에 발생할 수 있는 응집(aggregation)을 억제하는 역할을 하게 됩니다.
Lineweaver-burk 방정식의 수학적 유도

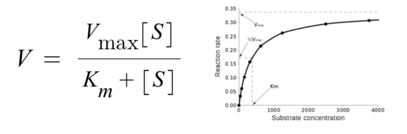
✔️ Lineweaver-burk 방정식은 지난 탐구에서 살펴보았던 효소반응속도론의 미카엘리스 멘텐 방정식(MM식)으로부터 유도됩니다. 미카엘리스 멘텐 방정식이 무엇인지는 위의 선행 탐구를 참고하시길 바랍니다.
※ MM식에서 V는 효소에 의해 기질(반응물)로부터 생성물이 만들어지는 초기 반응속도를 의미하며 Km은 효소와 기질의 친화도를 나타내는 상수(해리상수)이며, Vmax는 효소에 의한 최대 반응속도를 의미하는 상수입니다. MM식 그래프는 반응속도 V를 y로, 기질의 농도 [S]를 x로 하여 나타낸 그래프입니다.
❗️Lineweaver-burk 방정식은 위의 MM식 양변에 역수를 취하여 유도할 수 있습니다.

Lineweaver-burk 방정식의 유도

Km과 Vmax는 상수에 해당한다는 것을 앞서 살펴보았습니다. 이때 1/V를 y로, 1/[S]를 x로 두면 위 방정식은 y=ax+b의 직선의 방정식으로 정의할 수 있습니다.
❗️이때 해당 직선의 기울기는 Km/Vmax가 되며, x절편 값은 -1/Km, y절편 값은 1/Vmax가 됩니다. 이처럼 유리함수의 곡선이었던 MM식의 양변에 역수를 취하여 직선의 방정식인 Lineweaver-burk 방정식을 만들어 내는 것이 어떤 의미를 지니는 지는 이어지는 '진로연계'에서 자세히 살펴보도록 하겠습니다.
직선의 방정식, 선형 plotting의 의미 : 고등수학(상)
✔️ 우리는 지난 탐구에서 어떤 두 변수 사이의 직선적 관계를 수학적으로 밝혀내는 선형 회귀 분석에 대해 탐구한 적이 있습니다. 그러한 탐구에서 우리는 특정 두 변수가 직선적 관계를 가진다는 것을 알고 있을 때, 최소한으로는 단 2개의 점만으로도 직선의 방정식을 구해낼 수 있고(물론 단 2개의 점으로 구하는 경우 해당 모델의 정확도가 떨어질 수 있습니다),
이를 통해 실제로 실험을 하지 않고도 하나의 변수 값이 결정되었을 때 다른 변수값을 예측할 수 있다는 사실을 확인하였습니다.
❗️이번 탐구는 유리함수의 곡선 그래프를 나타내는 MM식으로부터 직선의 방정식인 Lineweaver-burk식의 그래프를 유도하였습니다. 즉 MM식과 Lineweaver-burk식을 비교함으로써 이번 탐구는 '직선'이 가지는 실용적인 이점에 대해 더욱 깊이 느낄 수 있는 기회가 될 것입니다.
남들과 다른 세특, 어떻게 시작할지 막막하다면?
세특 탐구 특화 아카AI로 나만의 주제 추천받으세요.
